Semejanza de matrices

Definición:
 


     Dos matrices A y B de Rnxn son semejantes si existe una matriz regular Q Є Rnxn tal que

 A = Q-1 . B . Q.

A la matriz Q se la llama matriz de paso.
 

 

Ejemplos

 

 

 

 

 

 

 

 

 

 

 

 

 

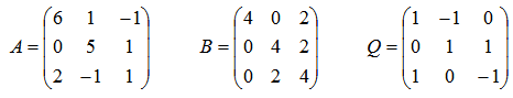
Comprobar que las matrices A y B son semejantes considerando la matriz de paso Q.

Para poder comprobar que las matrices A y B son semejantes tomando como matriz de paso Q basta verificar que se cumple que A = Q-1 . B . Q. Para ello se plantea:

De esta manera, se ha demostrado que las matrices A y B son semejantes, tomando como matriz de paso Q.

 

Propiedades:

Dos matrices semejantes tienen iguales:

ü el determinante

ü el rango

ü la traza

ü el polinomio característico (por ende, los autovalores y los autovectores)

 

Ejemplo

 

 

 

 

 

 

 

 

 

 

 

 

 

 

 

 

 

 

 

 

 

Para las matrices A y B del ejemplo anterior, que sabemos que son semejantes con matriz de paso Q, calculemos determinante, rango, traza y polinomio característico:

Calculamos sus determinantes:

Sus determinantes coinciden.

Dado que los determinantes de A y B son distintos a cero, podemos decir que ambas matrices tienen rango 3, por lo tanto, coinciden sus rangos.

Calculamos las trazas:

tr(A) = 6 + 5 + 1 = 12

tr(B) = 4 + 4 + 4 = 12

Sus trazas coinciden.

Calculamos el polinomio característico

Vemos que ambos polinomios característicos son iguales. Por lo tanto, ambas matrices tendrán los mismos autovalores y autovectores.

Diagonalización de una matriz

Si una matriz A de dimensión n x n tiene n autovectores linealmente independientes asociados a autovalores reales, entonces A es semejante a una matriz diagonal, cuya diagonal está formada por los autovalores (repetidos o no) y la matriz de paso está formada por los autovectores asociados.

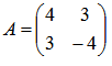
Ejemplo

 

 

 

 

 

Dada la siguiente matriz:

en el ejemplo 1 de la pestaña definiciones se calcularon los autovalores y autovectores de A. Los autovalores son λ1 = -5 y λ2 = 5, y los autovectores asociados son v1 = (1, -3)t y v2 = (3, 1)t. Por lo tanto, A es semejante a la matriz D con matriz de paso Q, siendo:

Se deja al navegante comprobar que A = Q-1.D.Q